thế nay xanh hay đỏ hả ae, chưa mở bảng. Chán cmnr
Tuần sau ra tin đc duyệt cổ tức với phát hành à cụ ?
Siêu phẩm cụ nhỉ. Phi mạnh nhưng ko hề nở thanh khoản. Ntl tiếp theo rồi.
ubck moi biet bac ah, toi lam gi biet duoc, kkkk
Thấy cụ bảo tuần sau ra tin, thế tin gì thế ?
Cổ đông NTL sướng nhỉ, cổ thì tăng mạnh lại còn năm nào cũng đều đặn nhận cổ tức bằng tiền. Trung bình cứ 25%/năm =)))

Nđt đang hướng đến các cổ phiếu chia cổ tức bằng tiền đều đặn, tỷ lệ ổn, đặc biệt các cổ đang có trend tăng tốt. Đoạn này: dpg, ntl, FPT… Đầu tuần tôi cũng bắt á hậu tím TPB, đu trend cổ tức tiền mặt.![]()
Thê mấy thấy thằng dig c.h.o m.a thật
Dpg, ntl mới là kiêủ đánh bỏ rơi, ít đu bám. Đít thì ối dồi ôi lắm. Như nlg, kdh, hdg…cũng bị đu bám thôi.
NTL bán hết dự án, book hết ln thì còn kì vọng gì k, htk còn k, book ln thì chỉ còn cái vỏ, có phải lúc mấy ông đi nhận sổ chỉ còn 5% cuối cùng đúng k, 95% cty nó lấy đời nào r, mấy cty kiểu này ng tới sau chả còn gì để kì vọng cả :)) nhưng thôi bảng điện nói lên r, k cãi dc :))
nàng nói như chiên za
sai gồi, chiên gia thấy lãi mới nhảy vào phân tách :)) ngon p/e các thứ :)) tại bị ngáo sách vở, áp dụng sai mô hình
Chị đẹp nóng tánh quá, ta đang nhìn bên trái chart rồi nói kiểu rũ bỏ thôi. Chứ biết nó là siêu phẩm sắp tới thì all-in luôn chứ ngồi đây chém làm gì.
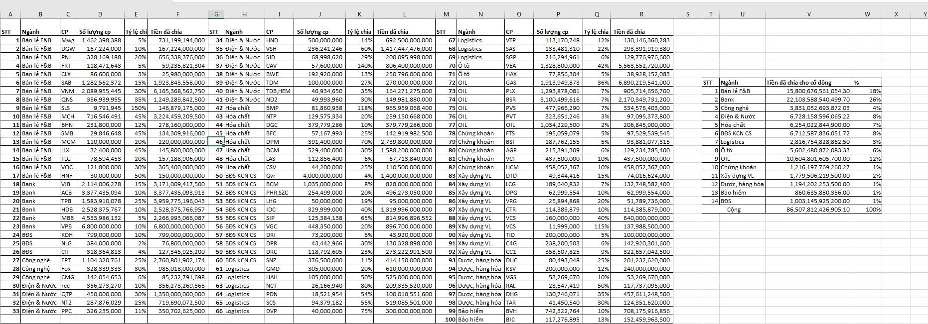
ai thích ăn cổ tức t cho cái list nè :)) siêu ổn định, rảnh t ngồi lọc chơi, tại mn vừa thích có tiền đều vừa phải trần trần ý chứ :)) ai nói ck là game = 0
nàng có con nào cổ tức tiền 25%, cổ tức cp 25%, cứ 2 năm giá lại tăng 3 lần ko???
Về hỏi vợ xem có cách nào mà vk thu nhập tăng gấp 2, nấu ăn ngon, đẹp lên nữa k :)) nó vả cho tím mắt :))
Đang trend thôi, giống như vụ Thích mình Tuệ. Một thời gian sẽ lắng xuống. Chứ ai cũng đòi mua giá thấp, mua khi ảm đạm, bán khi hưng phấn, thì “Nái” lấy ai mà úp. Nó phải tạo ra những game hay ho dụ nđt chứ.
ppc 1 năm chia ít nhất 2 lần tiền, đòng phòng thủ cứng cmn nhất luôn
Anh em muốn mua ăn cổ tức, phải mua cổ phiếu đầu năm 2023. Chứ mua giờ giá trên mây, cổ tức tiền mặt đc bao nhiêu đâu. Tụi “Nái” nó bịp anh em thôi.
Điện có con qtp cũng hay á, cổ tức đều, 2-3 năm nữa hết khấu hao thì lồi mồm :)), đoạn này tỷ giá hơi cao thì hơi thiệt tý vì công nợ nó vay usd, cái chính ôm dài dc k :))
