Chắc sắp tới VN phải down hàng Mũ xuống rồi!
Từ nay dân ta được xài hàng Vịt cìu đúng giá ![]()
Nga ngố lại ko bị áp thuế ![]()
Như vậy, thuế quan đối với Thép vẫn được giữ nguyên 25% như tháng trước mới công bố!
Nhóm bds, nhóm ck …có thể ko ảnh hưởng nhiều vụ này anh nhỉ
Chỉ là ảnh hưởng tâm lý nhất thời thôi!
Nay canh múc mạnh đi!
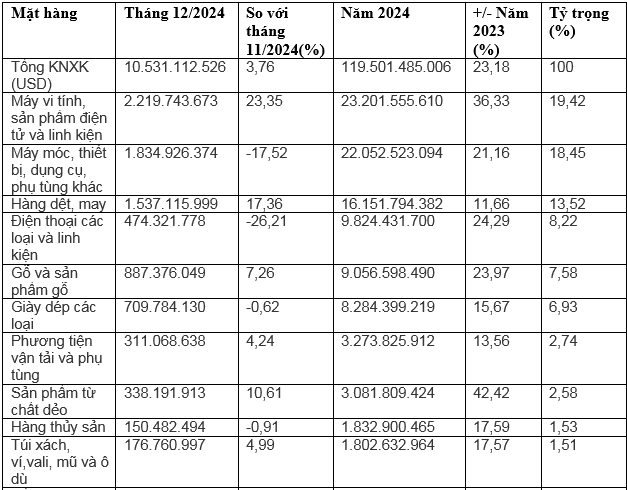
VN xuất sang Mỹ 136,6 tỷ đô, nhập khẩu 13,1 tỷ đô trong năm 2024.
Thâm hụt 123.5 tỷ đô
123.5/136,6 = 90% ![]()
![]()
![]()
Những mặt hàng xuất khẩu chính vào Mỹ của VN

Nếu tính hàng niêm yết thì Dệt may và Thuỷ sản bị ảnh hưởng thôi!
Dù thế nào thì VNI hôm nay nhiều khả năng sẽ lui về cứ điểm 1.300 thậm chí sẽ có lúc “thủng”.
Đây là cơ hội lớn để lên tàu:
lưu ý chỉ chọn đoàn tàu mang số hiệu BĐS và CK.
Chọn toa VIP lại càng tốt ![]()
TQ đang kích thích tiêu dùng nội địa và bắt tay các nước khác để mở rộng TT.
VN chắc chắn cũng sẽ chơi chiêu “kích thích tiêu dùng nội địa”. Muốn vậy CP sẽ phải bơm tiền mạnh hơn nữa!
Trc mắt thì BĐS là trú ẩn đẹp. Trong nhóm hàng hoá thì thép trú ẩn, thép đc loại khỏi danh sách chịu thuế.

chúc mừng a em cầm cổ kim loại quý. Chia buồn các bác cầm cổ xuất khẩu
TT nay lại phải dựa vào anh Vượng cả thôi ![]()
Thời của DNTN tới rồi:
HSG tăng giá bán:
Tranh thủ thiên hạ đang lo sợ vụ thuế quan: em ngắm bắn NVL được đó nhé!
Cần thì cơ cấu mã khác qua!




