BCG: Hành trình 1 tỷ USD

Kinh khủng với tình trạng RÁC ở Củ Chi - quy mô bãi rác rộng tới 687ha, khu tập kết rác toàn TP HCM từ 2003 đến nay. Rất may, Bamboo đã có “nguồn nguyên liệu đầu vào miễn phí và không giới hạn” - Biến RÁC thành TIỀN!

Cuộc sống trong ô nhiễm, bụi bặm bên khu xử lý rác Củ Chi (vietnamnet.vn)

Cứ sản xuất, xuất khẩu chiến thôi. điện có BCG, cá tra ANV, thép HSG. Hôm nay chắc lồi mồm ra rồi.

1 Likes

Rồi cũng sẽ vượt nhưng không vội làm gì cả. Thà để thị trường tích lũy, tạo đà đủ thời gian. thì lúc đó vượt cho chắc chắn và quan trọng là đi được xa hơn.
Chứ nóng lòng sốt ruột để chỉ số vượt đc 1 hôm rồi lại giảm thì lại không bền và cũng không ổn
Nếu ai sốt ruột là đang có nhu cầu bán lướt sóng.
Đã kiên nhẫn lâu nay thì phải nghĩ lớn. Làm 1 miếng thật to đỡ mất công chờ công đợi.
Suy cho cùng, ăn nhiều deal nhỏ không bằng thắng 1 trận đánh lớn.

(Mr. Nguyễn Cường SSI nói về 1300₫ mà như thể anh ấy đang nói về cp mà ai cũng biết là cp này đó.)

1 Likes

Cuối tháng 6 này khởi công Nhà máy điện rác Củ Chi - lớn nhất thế giới, vượt cả Thâm Quyến Trung quốc thì NĐT sẽ thực sự nhìn khác về Bamboo. 1 dự án này thôi cũng đủ lên tầm thế giới rồi.

Tại sao Mr Nam đặt tập đoàn tên là Bamboo? Tầm nhìn của Lão là xây dựng 1 tập đoàn có 4-5 lĩnh vực core, để không thể nào chết được dù bất kỳ hoàn cảnh nào. Năng lượng - BĐS - Tài chính - Xây dựng - Sản xuất Thương mại. Các lĩnh vực sẽ gồng nhau, đoạn này đoạn khác. Cổ phiếu có thể chưa tăng, nhưng tầm nhìn của Mr. Nam phải nói là nhất quán, xuyên suốt, chiến lược. Rồi mọi người sẽ phải nể phục Lão Nam.

1 Likes

Nói lại về chữ M



1 Likes

Lãi ròng tăng gấp hơn 5 lần.
EPS foward sẽ tăng theo khoảng hơn 2 lần (do năm nay có chia tách PHT 2:1 và thưởng 10:1).
Vậy bét nhất thì thị giá sẽ…

2 Likes

Sau SK, SLC (Hàn quốc) vào phát triển điện rác với BCG, sẽ có thêm NĐT (tầm cỡ) nữa cùng BCG phát triển điện gió, mặt trời. Các ông lớn cùng chung tay làm.

Nhoi tí thì Tây lại bán vùi dập. Hồi chắc không phải là chuyện một sớm một chiều. Chắc vẫn phải đợi đến ngày Tây ngừng bán.
Đợi gió ngừng trôi.

Em đã không còn tính toàn từng phiên.

Rồi cũng sẽ vượt nhưng không vội làm gì cả. Thà để thị trường tích lũy, tạo đà đủ thời gian. thì lúc đó vượt cho chắc chắn và quan trọng là đi được xa hơn.
Chứ nóng lòng sốt ruột để chỉ số vượt đc 1 hôm rồi lại giảm thì lại không bền và cũng không ổn
Nếu ai sốt ruột là đang có nhu cầu bán lướt sóng.
Đã kiên nhẫn lâu nay thì phải nghĩ lớn. Làm 1 miếng thật to đỡ mất công chờ công đợi.
Suy cho cùng, ăn nhiều deal nhỏ không bằng thắng 1 trận đánh lớn.

(Mr. Nguyễn Cường SSI)

1 Likes

Đoạn khó nhằn nhất của BCG là khi mở cái pics này. haha. dập dìu 6 tháng chả có tin tức gì, phát hoảng. Giờ ào ào các NĐT chiến lược vào thì phải khác.




Vni 1290 không vượt qua được, ngày mai chắc lại đìu hiu cắm đầu về 1250 lần nữa

DEAL PHT càng ngày càng hay, vì sao?

  1. Việc đầu tiên là loại toàn bộ cổ đông hiện hữu nhỏ lẻ trên sàn khỏi đợt này => mục tiêu đã đạt được, vì “ế” 188tr cổ phần từ quyền mua của nhỏ lẻ! Thông tin theo Nghị quyết.

  2. Toàn bộ số “ế” đã có chủ. Thông tin Nghị quyết.

  3. Như vậy, có thể đánh giá: ngay lập tức BCG tăng vốn thành công, có tiền đẩy vào tk cty, hạ tỷ lệ nợ vay/vốn chủ như chiến lược. Điều quan trọng nữa là: toàn bộ 188tr cổ mà nhỏ lẻ nhả ra đã bị khoá lại 1 năm ko đc giao dịch => cơ bản freeloat 1 năm tới như hiện tại, cô đặc dù vốn tăng. Điều quan trọng nhất là: mớ 188tr cổ này sẽ chào cho ai? Bán vào thời điểm nào? Nhưng chắc chắn bên mua (có thể là các cty chân rết của chính mr Nam) sẽ làm chủ cuộc chơi, vì họ có ít nhất 1 năm làm giá và thương thảo giá; và Bên mua chắc chắn ko thể có giá dưới 10. Lão Nam đỉnh của chóp, mai sàn hay trần thì vẫn phải nể lão.

1 Likes

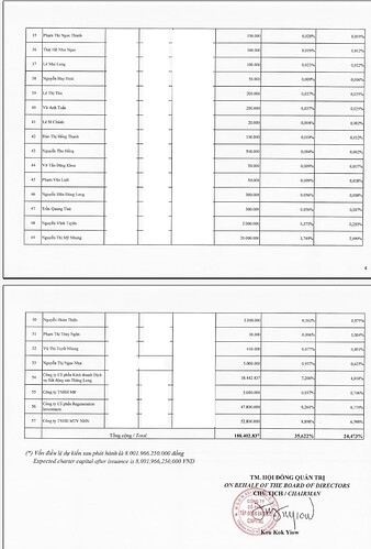
Công ty TNHH MTV NHN 52 triệu cp. Sân sau của anh Nam.

Hạn nộp tiền trong vòng 3 ngày.
266 triệu cp x 10.000 = 2660 tỉ. Tăng vốn thành công.
Sang năm, số cp này sẽ ko còn ở giá 10k. Chả trách, nhà giàu họ càng ngày càng giàu.




Nhà giàu họ dùng tiền thịt có sẵn hoặc cầm cố tài sản hoặc vay bank lãi suất thấp để trong vòng 3 ngày nộp đủ tiền mua giá 10k. Sang năm, chả cần đến sang năm có khi tháng 6 này họ đã bắt đầu có lợi nhuận. Và chỉ cần xoa tay, ngồi nhìn lợi nhuận tăng dần.

Công ty THNN MTV NHN(Nguyễn Hồ Nam): mua 52.800.000 cổ Công ty cổ phần Regeneration Investment (Hà Lê Thuý Vy quê Kiên Giang sinh năm 2000): mua 47.800.000 cổ Công ty TNHH M8 (Vũ Hùng Cường sinh năm 1991): mua 5.000.000 cổ Công ty cổ phần kinh doanh dịch vụ BĐS Thăng Long: mua 38.442.837 cổ Đây là 4 tổ chức đăng ký mua tôi nghi đều họ hàng hang hốc nhà anh Nam hết =))

1 Likes