MHC, VDS, TCI : quý 3 lợi nhuận kỷ lục cao nhất kể từ khi niêm yết ? ( lợi nhuận kỷ lục, lời kỷ lục, lợi nhuận vượt mọi thời đại ) 300 tỷ, 400 tỷ, 500 tỷ..TCI,VDS, MHC

MHC nhìn vào mảng tự doanh toàn cổ phiếu hót

GEX, EIB, VIX

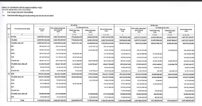
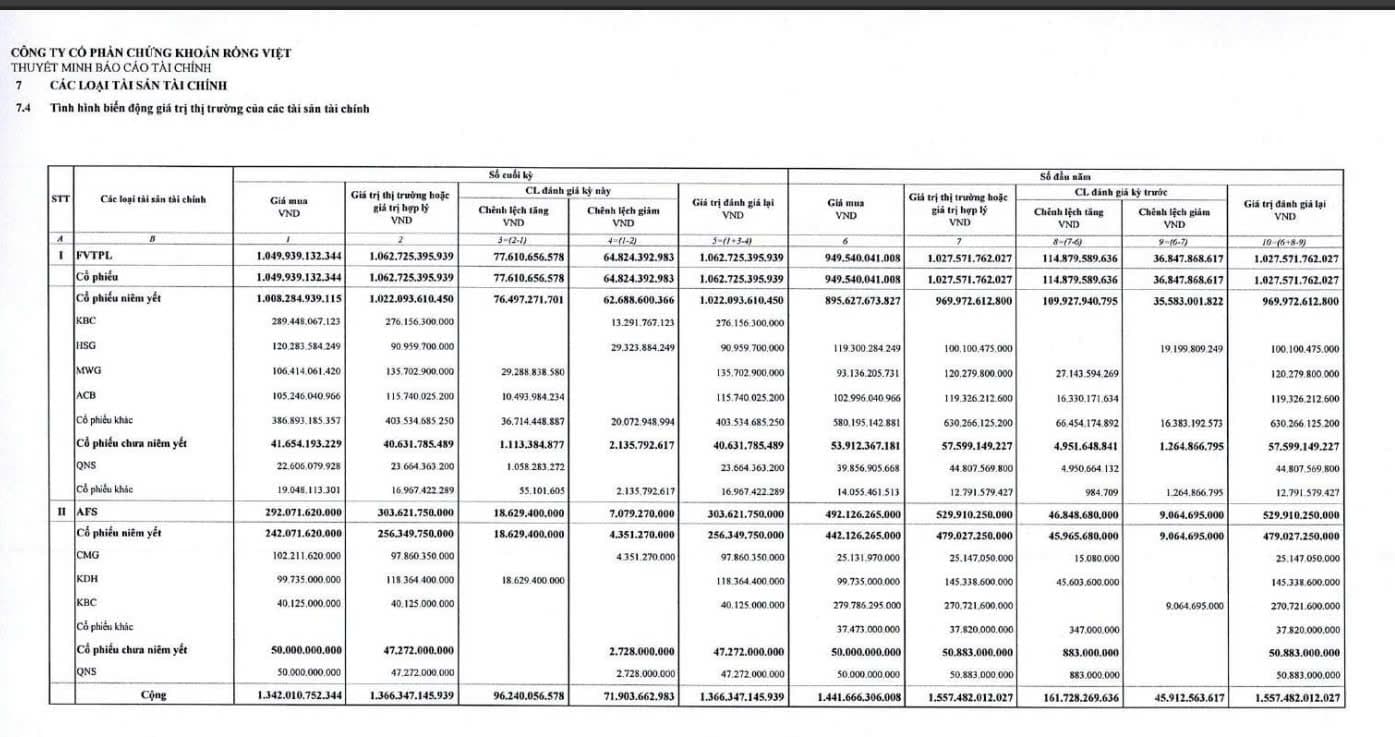
Cả nhà thấy thế nào ? Đọc trang 17 nhé trong báo cáo tài chính quý 2.2025

  • MHC đầu tư tự doanh vào VIX ngày ngày 30/06 chỉ có giá 12,8 tính đến ngày 18/08 VIX giá 37 => Tăng 190%, khoản đầu tư VIX 127 tỷ MHC có thể này lời 240 tỷ ?

  • Tính sơ sơ đếm ngày hôm nay ngày 18/07 thì MHC quý 3 lời quanh 400 tỷ ? ( lời bằng vốn điều lệ ? )

MHC quý 3 lời khủng khiếp hơn cả ( VSC và ViX)


Danh mục tự doanh của VDS ( khủng ) 1300 tỷ toàn hàng tốt ( KBC, KDH, ACB ….)

VDS quý 3 khả năng cao lời nhuận đạt kỷ lục kể tù khi niêm yết

Hình ảnh chỉ mạnh tính chất tham khảo, bác nào mua/ bán thì vào báo cáo tài chính quý 2.2025 đọc để kiểm nghiệm lại thông tin ( cá nhân không khuyến nghị mua bán )

MHC,VDS, TCI

1 Likes

VDS tự doanh đầu tư khoảng gần 340 tỷ vào KBC ( cp đang tăng mạnh )
VDS tự doanh khoảng 118 tỷ vào KDH ( cp đã tăng giá mạnh )
VDS tự doanh khoảng 115 tỷ vào ACB ( cp đã tăng mạnh )
VDS quý 3.2025 có thể có lợi nhuận cao nhất mọi thời đại kể từ khi niêm yết

1 Likes

VDS, MHC quý 3.2025 dự kiến lợi nhuận tăng trưởng tốt

1 Likes

VDS tự doanh tốt danh mục tự doanh khủng

SHS theo SHB

VDS và MHC

2 doanh nghiệp tự doanh cực tốt

Quý 3 này MHC
Khủng khiếp
Nhớ đọc trang 17 nhé cả nhà

MHC liệu lời 400 tỷ quý 3.2025 ? Eps riêng quý 3 khoảng 10.000 ?

VIX ngày ngày 30/06 chỉ có giá 12,8 giờ VIX giá 37

Tăng 190%, khoản đầu tư VIX 127 tỷ này lời 240 tỷ ?

Tính sơ sơ đếm ngày hôm nay ngày 18/07 thì MHC quý 3 lời quanh 400 tỷ ?

MHC quý 3 lời khủng khiếp hơn cả ( VSC và ViX)

1 Likes
  • Dự báo khả năng cao Quý 3 VIX có thể lời khoảng 4000 tỷ ? / vốn 15.000 tỷ ?=> eps quý 3 khoảng 2.700 đồng ?
  • Dự báo khả năng cao Quý 3 MHC có thể lời khoảng 430tỷ ? / vốn 430tỷ ?=> eps quý 3 khoảng 10.000 đồng ?

=> MHC khủng gấp 3 lần ( VIX, VSC )

1 Likes

Chỉ thấy sự min nặng ( của những con sói ?)

Không thấy ai bình luận gì, xem ra ít ai để ý

MHC lên giá nào các bác

MHC eps có thể > 10.000 mà giá 1X ( lợi nhuận có thể gấp 2 gấp 3 lần vốn điều lệ )

Quá khủng phải không các bác ?

1 Likes

Có ai không ?
Có ai mua khớp được tý nào không ?

1 Likes

Ko múc được bác , sáng ra đã trần rồi ko khớp được

1 Likes

MHC hiện tại cũng ít người chú ý
Lúc ra báo cáo quý 3 lúc đó sẽ có nhiều người để ý đến
Khoảng 15/10/20125 lúc đó báo cáo ra Cafef lúc đó mọi người mới chú ý đến

2 Likes

Hy vọng có bác nào, chờ 15.10.2025 mới có bác thì buồn

Đất hiếm mã KSV cũng sẽ thắng đậm ạ :smile: :heart_eyes: :drooling_face: :drooling_face:

2 Likes

KSV là của để dành ( tuyệt vời )

Bác xem thêm VDS tham khảo thôi nhé

Tự doanh VDS dự kiến lời khủng quý 3

MHC hôm nay có hàng
Chờ khoảng trung tuần tháng 10 có bao cái lúc đó lợi nhuận mới phê

1 Likes

VDS và MHC
Là 2 công ty có mang tự doanh không khiếp nhất

Quý 3 liệu có lợi nhuận cao cao kỷ lục từ khi niêm yết

Cao nhất mọi thời đại

Cờ hội có hàng
Bác nào ở đây thì đàm đạo cho vui

1 Likes

Hôm nay là một ngày tuyệt vời
Cơ hội lớn

1 Likes

MHC, VDS là 2 siêu cổ phiêu

1 Likes

Mới lên tàu