Awmfund - ấn bản mùa đông 2024

, , , , , , ,

ẤN BẢN MÙA ĐÔNG 2024

Mùa Thu đã qua đi và lại một Mùa báo cáo tài chính Quý 3.2024 nữa lại tới, đến hẹn lại lên, Ấn bản Mùa Đông 2024 chính thức được đặt trước, vẫn là 10 cái tên được xướng tên trong Ấn bản kỳ này, một vài các vị thế đã được nhắm tới.

Vẫn là chiến lược tìm đến các cổ phiếu có thanh khoản vừa phải, đột biến về kinh doanh và định giá chưa đắt sẽ là các mục tiêu ưu tiên hàng đầu của AWMFund, 10 cái tên xuất sắc chắc chắn sẽ đáp ứng được hầu hết khẩu vị đầu tư của Quý vị và hi vọng sẽ được thị trường đón nhận một cách nồng nhiệt.

= = =

Anh em đặt mua ấn bản kỳ mới vui lòng bấm link nhé.

= = =

Ma Kha
Brother of AWM.Fund.
𝐀𝐖𝐌 𝐅𝐮𝐧𝐝 - Big bet on Vietnam’s Future.
𝐓𝐞𝐥: 0888.88.77.89
𝐌𝐚𝐢𝐥: hello@awmfund.vn

#ICN
Cánh chim lạ năm nay chắc tiền mặt bằng vốn hoá quá. Deal nổ liên tục về cuối năm!

image

#ICN

Hãy để ý vào doanh thu chưa thực hiện ngắn hạn. Đây sẽ là một khoản doanh thu lớn trong Quý 4.2024. Khi mà ICN hoạch toán đồng thời cả 2 dự án Osaka và phần đất KCN thu về cho thuê lại trong kỳ.

Lợi nhuận sẽ rất đột biến.

#ICN_AWMFUND- IDICO CONAC

Cái tên vừa lạ mà vừa quen. Đây là công ty con của IDICO - IDC đang niêm yết trên sàn HSX. Hiện IDC có 2 công ty con là IDICO LINCO - LAI ( Upcom ) và IDICO CONAC - ICN ( Upcom ) đang giao dịch. AWMFund đã viết về cổ phiếu LAI gần đây, và giờ là ICN với những tiềm năng hết sức vượt trội và định giá rẻ một cách đáng kinh ngạc.

image

= = =

ICN là một trong những doanh nghiệp mà chúng tôi đã quan sát từ rất lâu, câu chuyện kinh doanh ngày càng nổi bật với lợi nhuận bắt đầu bùng nổ từ Quý 3.2024 trong khi đó tài sản mà ICN đang sở hữu là rất lớn và vượt rất xa giá trị vốn hoá công ty hiện tại.


Doanh thu Quý 3.2024 ghi nhận 166.4 tỷ đồng, tăng gấp 11 lần thực hiện cùng kỳ, LNST đạt 48 tỷ, tăng gấp 20 lần so với cùng kỳ. Có được kết quả này là do ICN đang sở hữu dự án đã mở bán và đang thu tiền tại Hà Nam mang tên Osaka Garden, liên danh cùng kiểm định An Hoà là chủ đầu tư dự án. Nằm ngay tại cửa ngõ của SunGroup Urban City Hà Nam, dự án ra hàng rất tốt với lượng tiền đặt cọc đến hết quý 3 lên tới 138 tỷ đồng. Biên gộp của dự án ghi nhận ở mức 61.7%, quá khủng đối với 1 dự án Bất động sản.



Hiện hàng tồn kho của dự án đang là 277 tỷ đồng, còn có thể ghi nhận gần 500 tỷ doanh thu và 300 tỷ lợi nhuận gộp từ dự án này. Mặc dù vậy, chúng tôi chưa có cơ hội được thực địa xem dự án đã hoàn thành tất cả các Giai đoạn hay chưa, tiềm năng tăng thêm Hàng tồn kho có thể vẫn còn tiếp diễn.

= = =

Ngoài dự án tại Bắc Châu Giang Hà Nam, ICN vẫn đang hoạch toán doanh thu KCN Mỹ Xuân B1 hàng quý với doanh thu 36 tỷ đồng, lợi nhuận gộp 11 tỷ mỗi quý. Dự án này ICN hoạch toán trong cả chu kỳ thuê.

Trong kỳ, có 1 doanh nghiệp đã trả lại mặt bằng lại cho ICN và sau đó ICN cũng đã kiếm được khách thuê, với doanh thu chưa thực hiện ngắn hạn là 132 tỷ đồng. Trong kỳ Quý 2/2024 ICN cũng xuất hiện một cục như vậy nhưng bé hơn, doanh thu lên tới 50 tỷ và giá vốn chỉ vỏn vẹn 10 tỷ.

Như vậy, cùng với việc hoạch toán trong cả chu kỳ thuê, Quý 4 sẽ còn xuất hiện một cục đột biến từ cho thuê đất này, và thêm cả Osaka nữa thì chúng ta có thể kỳ vọng ICN sẽ ghi nhận một Quý 4 siêu siêu đột biến nữa, có thể là cả trăm tỷ LNST.

= = =

ICN còn đang nắm trong tay 4 dự án khác nữa để gối đầu trong những năm tiếp theo, mỗi dự án đều to bằng cả vốn hoá ICN hiện tại.

  1. Dự án khu nhà ở tại KCN Mỹ Xuân đang được triển khai quyết liệt nhất.

  2. KCN Mỹ Xuân B1 mở rộng khoảng 100 ha hiện ICN đã nhận quyết định phê duyệt chủ đầu tư.
    Chấp thuận đầu tư dự án khu công nghiệp Mỹ Xuân B1 – Conac tại Bà Rịa – Vũng Tàu - Nhịp sống kinh tế Việt Nam & Thế giới

  1. Cao ốc 326 Nguyễn An Ninh rộng hơn 8.000m2 đất xây dựng

  1. Condotel Thuỳ Dương hơn 7.000 m2 đất đều nằm ở những vị trí đắc địa tại TP. Vũng Tàu là những tài sản chất lượng.

= = =

Về định giá, chúng tôi cho rằng ICN sẽ tăng bền vững theo thời gian khi các dự án tiềm năng bắt đầu được triển khai. Nếu hoạch toán hết Mỹ Xuân B1 và Osaka VCSH của ICN đúng bằng với vốn hoá hiện tại, tức là tiền mặt sẽ bằng luôn với vốn hoá, thêm các dự án gối đầu khác, kỳ vọng của chúng tôi ICN hướng tới mục tiêu vốn hoá x.xxx tỷ trước mắt, upside đưa ra là xx% từ vùng giá 47.000 đồng.

IDICO công ty mẹ nắm 51%, Hayat VN nắm 22.8% và CTCP Đầu tư phát triển xây dựng VN nắm 16%. Free Float của ICN chỉ vào khoảng 2 triệu cổ phiếu, tức 10%. Thanh khoản hiện tại thì cổ phiếu có thể đi lên theo phương thẳng đứng.

ICN gần x2 rồi đó bác, nay đc cháu HMS tím

NỀN LỢI NHUẬN MỚI. NỀN GIÁ TRỊ MỚI.

= = =

TOS đã đánh dấu Quý thứ 3 liên tiếp tăng trưởng đầy ấn tượng với doanh thu lõi dịch vụ ngoài khơi và khác đầy ấn tượng. Trong quý 3, doanh thu tổng đạt 840 tỷ, tăng trưởng 71% yoy, LNST thuộc mẹ đạt 96.8 tỷ đồng, tăng trưởng 20%. Tính cả 3 Quý, doanh thu tổng ghi nhận 2.066 tỷ đồng, tăng trưởng 80%, LNST thuộc mẹ 212 tỷ, tăng trưởng 51% cùng kỳ.


Trong kỳ, TOS đã chính thức tham gia góp vốn vào công ty vận tải biển Tân Cảng, TanCangShipping, với tỷ lệ 43.8% vốn và trở thành công ty liên kết. Việc mua cổ phần này nằm trong chiến lược của TOS trở thành trụ cột thứ 3 của Tân Cảng Sài Gòn là Vận tải biển và các ngành kinh tế biển.


Với khoản người mua trả tiền trước ngắn hạn hơn 1.850 tỷ, cũng như hàng tồn kho hơn 850 tỷ, cùng với hàng loạt các đối tác lớn trong và ngoài Tân Cảng chắc chắn sẽ đảm bảo cho TOS duy trì tăng trưởng trong 1-2 năm sắp tới.

Chúng tôi dự phóng LNST Quý 4/2024 sẽ tiếp tục duy trì tăng trưởng tốt với khoảng 80-100 tỷ, cho cả năm 2024, TOS sẽ đạt mốc lợi nhuận kỷ lục 300 tỷ đồng. Một doanh nghiệp cực giàu dòng tiền với khoản khấu hao cả năm vào khoảng 250 tỷ nữa, EPS dự phóng đạt 9.300 đồng, ROEA 30%.

Vốn hoá mục tiêu cho TOS của chúng tôi vào khoảng X.000 tỷ đồng, tương ứng PE X.0x, Upside khoảng XX% từ vùng giá quanh 63.000 đồng đóng cửa ngày 01/11/2024.

TOS sẽ thực hiện tăng vốn trong giai đoạn cuối năm 2024 bằng việc phát hành cổ phiếu trả cổ tức cho cổ đông hiện hữu với tỷ lệ 45%. Đây chắc chắn là xúc tác không hề nhỏ đưa TOS trở về với định giá của chúng tôi nhanh hơn, việc tiếp cận cổ phiếu cũng dễ dàng hơn vì thanh khoản rất thấp hiện nay.

VNINDEX cuối năm nhìn chung vẫn có sự tích cực nhất định, ở chỗ vẫn có một số lượng lớn cổ phiếu mà chúng tôi follow lên đỉnh, rõ ràng thị trường đã có sự phân hoá mạnh chứ không “cá mè một lứa” như nhưng khi thị trường điều chỉnh trước đây.

Có thể ví dụ TOS, PDV, TRC, ICN, SGC, SAS … những cổ phiếu trong ẤN BẢN MÙA ĐÔNG đều đang ở đỉnh lịch sử, kéo AWM.Fund ghi nhận +20% trong 5 tháng qua. Cùng với một loạt các siêu cổ phiếu khác VTP, VGI, CTR, FPT, TLG, VFG, BMP, QNS … cũng đều đang trên đường thiết lập những đỉnh cao mới.

= = =

Nhân nói về QNS set all time high hôm nay, có thể thấy doanh nghiệp này thuộc hàng cực kỳ là value, khi lợi nhuận hàng năm giờ đây là trên 2.000 tỷ nhưng khá lạ là cổ phiếu này định giá PE chỉ 7.7x trong khi những doanh nghiệp cùng kích cỡ lợi nhuận PE cũng trên 15.0x thật quá xót xa.

Chưa kể, nếu trừ đi Cổ phiếu Quỹ đang nắm giữ ở công ty con, thì EPS còn cao hơn nữa, khi 3Q2025 đã đạt 5.700 đồng, và cho cả 2024 thì EPS lên tới 8.000 đồng, PE fw 2024 chính xác là 6.1x, con số mà tôi nghĩ mà anh em cầm QUỸ không khỏi chạnh lòng sao cổ phiếu rẻ mãi thế.

QNS all time high - next new papers chăng ?


= = =

15/07/2023

QNS - RỰC SÁNG MẢNG ĐƯỜNG

ẤN BẢN ĐẦU TƯ MÙA THU 2023.

[AWM.Fund]

= = =

11/03/2020

QNS có 2.660 tỷ trong két sắt vào cuối kỳ, và đó chính là vấn đề !!

[AWM.Fund]

= = =

05/04/2022

QNS CỜ ĐẾN TAY CHỈ VIỆC PHẤT.

ẤN BẢN ĐẦU TƯ SỐ 22 - CƠ HỘI ĐẦU TƯ QNS

[AWM.Fund]

= = =

28/10/2021

MẢNG ĐƯỜNG RỰC SÁNG, NHƯNG …

Đó mới chỉ là điểm khởi đầu.

[AWM.Fund]

#SGC

Cánh chim lạ nhất trong ẤN BẢN MÙA ĐÔNG kỳ này nhẹ nhàng ATH - All time high !

Cổ phiếu không dễ tiếp cận nhưng nếu đã mua được tại vùng giá rẻ thì nó chẳng khác gì chai rượu vang hảo hạng cất tủ mà để càng lâu thì càng đắt giá, càng thơm ngon.

= = =

Sa Giang là một trong những cổ phiếu mà chúng tôi thấy rất hấp dẫn gần đây khi nghiên cứu về doanh nghiệp này, một doanh nghiệp mặc dù nhỏ nhưng “go global” rất mạnh mẽ và khả năng mang USD về là rất xuất sắc, hơn rất nhiều các ông lớn đang niêm yết trên sàn.

Sa Giang với mặt hàng bán nội địa chủ lực là bánh phồng tôm đặc sản hương vị Đồng Tháp, gần đây SGC đang mở rộng sản xuất sang các sản phẩm khác trong phân khúc như Phở, bánh phở hữu cơ đang mang lại nguồn tăng trưởng doanh thu rất lớn.



= = =

Báo cáo Quý 3 cho thấy tăng trưởng doanh thu khá ấn tượng 37% lên 170 tỷ đồng, biên gộp cải thiện lên 22%. LNST quý 3 tiếp tục tăng trưởng gần gấp đôi so với cùng kỳ đạt 19.2 tỷ đồng, tính 3Q2024 thì con số là rất ấn tượng với 82.9 tỷ, gấp hơn 3 lần so với cùng kỳ. LNST năm 2024 đạt 100 tỷ trong tầm tay. Và với ngành nghề kinh doanh đặc thù thì hoàn toàn có thể định giá PE từ 10-15 lần thu nhập hàng năm, tức vùng giá trị hợp lý cũng từ 1.000 đến 1.500 tỷ vốn hoá, so với 736 tỷ như hiện tại. Upside đưa ra là khoảng 50% từ vùng giá quanh 100.000 VND, thực tế đó là upside ở mức tối thiểu, SGC tiếp tục tăng trưởng tốt như hiện tại và thanh khoản cải thiện hơn thì định giá sẽ còn cao hơn rất nhiều.

= = =

Trong kỳ, SGC đã đưa dây chuyền sản xuất mới đi vào hoạt động trị giá hơn 32 tỷ đồng, theo suy đoán của chúng tôi thì đây là dây chuyền sản xuất bánh phở hữu cơ Sa Giang, một loại sản phẩm đón đầu xu hướng “ăn lành” đang đặc biệt được quan tâm gần đây. Đây cũng chính là hạt nhân tăng trưởng doanh thu mạnh mẽ trong Quý 3.2024.

= = =

Doanh thu xuất khẩu của SGC đã tăng ấn tượng 90% so với cùng kỳ trong 9T2024, kéo theo tỷ trọng xuất khẩu cũng tăng mạnh lên 73% so với 65% thực hiện 9T2023. Việc tăng trưởng này có sự đóng góp không nhỏ từ VHC, công ty mẹ, khi mà SGC tận dụng được hầu hết tất cả các lợi thế về thị trường, về kênh phân phối, về cả logistic và cả việc quản trị doanh nghiệp của một công ty có vị thế xuất khẩu rất lớn. Chính vì thế, SGC rất có tiềm năng mở rộng thị trường trong tương lai, cũng như mở rộng danh mục sản phẩm đang là lợi thế của Việt Nam và đặc sản SGC nói riêng.

Awmfund mỗi tháng 10 siêu cổ đây mà ^^

Mùa đông có mấy tháng mà mỗi tháng. Chú méo biết đếm à.

Mùa đông ấm áp.

TRC - TAY NINH RUBBER

#TRC_AWMFund

CTCP Cao su Tây Ninh trực thuộc Tập đoàn Cao su Việt Nam hiện đang quản lý 7.114 ha đất, trong đó 4.155 ha Nông trường cao su đang khai thác và 2.694 ha Vườn cây kiến thiết cơ bản tập trung tại địa bàn Tỉnh Tây Ninh và với tổng sản lượng Mủ khai thác vào khoảng 8.900 tấn/năm với năng suất khoảng 2.1 tấn/ha.

Ngoài ra, TRC đang nắm giữ trực tiếp 100% vốn của công ty con là CTCP Cao su Tây Ninh - Siêm Riệp, Vốn điều lệ 1.360 tỷ, hiện đang quản lý 6.410 ha nằm phía Tây Bắc Campuchia gần biên giới với Thái Lan. Sản lượng khai thác khoảng 7.500 tấn/năm với năng suất 1.36 tấn/ha.

Như vậy, tổng diện tích mà TRC đang quản lý hợp nhất lên tới 13.500 ha vườn cây cao su, sản lượng hàng năm đạt 17.000 tấn mủ. Con số này của PHR là 30.700 tấn và của DPR là 11.000 tấn.

Do chỉ tập trung vào làm cao su nên định giá TRC hiện hơn 1.200 tỷ vốn hoá, bằng 1/7 của PHR là 8.400 tỷ và ⅓ định giá của DPR là 3.700 tỷ đồng.

===

YẾU TỐ NHÀ NƯỚC TẠI TRC

TRC là công ty con của GVR với tỷ lệ sở hữu 60%, còn lại là cổ đông tổ chức và cá nhân khác, freefloat khoảng 25.5% tương đương 11 triệu cổ phiếu.

Với việc có cổ đông lớn vốn Nhà nước, đây là lợi thế của TRC khi triển khai một số dự án quan trọng, cũng như có sự kiểm soát chặt chẽ về nguồn vốn và kế hoạch đầu tư. Từ đó, chúng ta có thể yên tâm đầu tư và kỳ vọng nếu không mở rộng thêm các dự án nào, TRC sẽ chia cổ tức khủng trong tương lai.

===

GIÁ CAO SU TỰ NHIÊN TRÊN ĐÀ THĂNG HOA

Giá cao su tự nhiên đang trong xu hướng tích cực nhất trong 3 năm trở lại đây và trên đường tìm đỉnh 10 năm. Giá bán bình quân mủ cao su trong tháng 5 tăng lên 44 triệu/tấn, tăng 10% so với đầu năm và tăng 30% so với cùng kỳ năm trước.

Lưu ý là giá bán tăng sẽ đi thẳng vào phần lợi nhuận gộp vì hầu hết các chi phí như nhân công, vận chuyển, khấu hao … sẽ tăng lên không đáng kể. Từ đó, lợi nhuận ròng thực tế trong quý 2 và cả năm dự phóng có thể +50% đến +100% so với năm 2023. Đặc biệt là khi sản lượng khai thác tại Campuchia cho tăng trưởng tốt.

Chúng tôi dự phóng, trong kịch bản cơ sở, sản lượng 17.000 tấn khai thác, giá bán bình quân 44 triệu/tấn, kèm doanh thu sẽ vào khoảng 750 tỷ, giá vốn hàng bán sẽ vào khoảng 500 tỷ, chi phí lãi vay, quản lý doanh nghiệp và bán hàng sẽ vào khoảng 80 tỷ. Như vậy, NOPAT của TRC năm 2024 sẽ vào khoảng 136 tỷ, +100% so với 2023.

Dựa trên toàn bộ đất đai đang quản lý, TRC xứng được định giá bằng với Bookvalue, tức khoảng 1.700 tỷ vốn hoá chỉ tính riêng mảng doanh thu từ Cao su (*).

===

SỨC BẬT TỪ LỢI NHUẬN KHỦNG ĐỘT BIẾN

Ngày 1/3/2024, GVR chính thức được xác nhận là chủ đầu tư KCN Hiệp Thạnh GĐ1 có diện tích 495 ha, tổng mức đầu tư 2.350 tỷ đồng, toàn bộ phần diện tích này nằm trong Nông trường Cao su Gò Dầu thuộc quản lý của TRC.

Nhìn từ vệ tinh, có thể thấy cây cao su đã chặt bớt khoảng hơn 200ha, còn lại khoảng 300 nữa sẵn sàng chuyển giao cho GVR để thực hiện chuyển đổi đất thực hiện dự án KCN.

Ngày 20/3/2024, GVR và UBND TÂY NINH đã có buổi làm việc để triển khai dự án đầu tư.
http://tapchicaosu.vn/2024/03/19/vrg-lam-viec-tinh-tay-ninh-ve-trien-khai-du-an-dau-tu-khu-congnghiep-hiep-thanh

Hai bên đi đến phương án thành lập tổ công tác, họp và trao đổi định kỳ để tháo gỡ khó khăn và thúc đẩy tiến độ dự án.

Trong ĐHCĐ Bất thường của GVR hồi tháng 3/2024, TGĐ Lê Thanh Hưng chia sẻ về chỉ tiêu đầu tư phát triển năm 2024 của công ty mẹ là 1.146 tỷ đồng, gấp nhiều lần so với con số 13 tỷ đồng thực hiện của năm 2023. Phần lớn số tiền này sẽ được dùng để đầu tư vào Khu công nghiệp Hiệp Thạnh tại Tây Ninh. Có thể thấy GVR cũng đang gặp áp lực tăng trưởng, những như phải thực hiện đúng kế hoạch Đề án tái cơ cấu Tập đoàn giai đoạn 2025-2030.

Lãnh đạo Cao su Việt Nam cũng cho biết, tập đoàn hiện đang xây dựng phương án hoạt động và sớm trình CMSC về việc thành lập chi nhánh của Ban phát triển. Chi nhánh sẽ có chức năng, nhiệm vụ thực hiện đầu tư, kinh doanh các khu công nghiệp do Cao su Việt Nam làm chủ đầu tư trực tiếp.

Tại Hội nghị Tổng kết hoạt động sản xuất kinh doanh năm 2023, Cao su Việt Nam đặt mục tiêu sẽ cho thuê mới 245 ha đất công nghiệp trong năm 2024, tương đương 468% mức thực hiện của năm 2023. Để thực hiện được KPI tăng trưởng trong các năm 2025-2030 thì GVR cần phải gấp rút hoàn thiện pháp lý của hàng loạt các dự án trọng điểm trong đó có KCN Hữu Thạnh 1 mà GVR là chủ đầu tư trực tiếp.

Như vậy, về mặt quy trình, sau khi được chấp thuận làm chủ đầu tư, GVR sẽ làm việc với Tỉnh Tây Ninh để hoàn thiện các thủ tục liên quan đến chuyển đổi mục đích sử dụng đất, và làm việc với TRC về giá đền bù giải phóng mặt bằng.

Như tiền lệ án trước đây, NTC GĐ2 mở rộng được chấp thuận chủ trương năm 2018, thì 2019 PHR đã nhận đền bù đất là 2.5 tỷ/ha. Hay như VSIP3 sau khi nhận được Quyết định điều chỉnh năm 2021, thì đến 2022-2023 PHR cũng đã nhận được 1.3 tỷ/ha tiền đền bù thiệt hại vườn cây cao su và thêm 20% lợi ích trên phần đất làm dự án.

Vị trí của Hiệp Thạnh là cực kỳ đắc địa khi nó nằm ở trung tâm của QL22 nối TP.HCM đi cửa khẩu Mộc Bài - Campuchia, chỉ cách HCM 55 km. Trong khi tại Đồng Phú Bình Phước giá đền bù đã vào khoảng 1 tỷ/ha. Chúng tôi cho rằng TRC sẽ nhận được tối thiểu 1.5 tỷ tiền đền bù mỗi ha. Tức tổng số tiền nhận đền bù sau thuê sẽ vào khoảng 600 tỷ đồng. Dự phóng deal sẽ xong trong 1 năm sắp tới.

===

KẾT QUẢ KINH DOANH QUÝ 3 RỰC SÁNG CAO SU

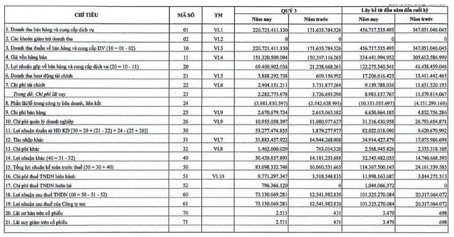
TRC ra KQKD Quý 3 hết sức đột biến. Doanh thu tăng trưởng 28.6% lên 220.7 tỷ, tuy nhiên, lợi nhuận sau thuế ghi nhận 73 tỷ, gấp 6 lần cùng kỳ, trong đó, lợi nhuận kinh doanh lõi ghi nhận tăng trưởng hơn 28 lần, năm nay TRC bắt đầu chặt cây cao su nhiêu hơn tại Hiệp Thạnh để thanh lý và trao trả mặt bằng cho GVR làm dự án KCN nên lợi nhuận khác cũng tăng gấp đôi cùng kỳ. Chúng tôi cho rằng khoản này sẽ tiếp tục duy trì đột biến trong 1-2 quý tới vì TRC phải gia tăng tốc độ thanh lý 500 ha cây cao su để làm dự án tại đây.

Trong kỳ, giá bán cao su tăng lên 43.5 triệu đồng/tấn, sản lượng khai thác tại Việt Nam trong Quý 3 chỉ đạt 2.700 tấn, mùa vụ cao điểm sẽ rơi vào Quý 4 với sản lượng khai thác còn cách kế hoạch 3.600 tấn, giá bán bình quân đã vượt 50 triệu đồng/tấn. Như vậy nếu đạt kế hoạch của năm 2024, chúng tôi tin chắc chắn rằng KQKD Quý 4 sẽ còn tốt hơn Quý 3.

===

VỀ ĐỊNH GIÁ

Nếu so định giá PB cùng với 2 doanh nghiệp DPR và PHR thì thực sự TRC còn khá rẻ khi giao dịch Underbook value. Hiện vốn chủ của TRC đang ở mức 1.700 tỷ đồng, nợ vay không đáng kể, vừa đang kể câu chuyện tăng trưởng mạnh mẽ, vừa kể câu chuyện thu nhập khủng từ đền bù đất, chúng tôi tin rằng TRC xứng đáng với định giá ít nhất 1 lần bookvalue.

Nhìn từ đây đến giữa năm 2025, vốn chủ sở hữu của TRC sẽ vào khoảng 1.700 (vsch hiện tại) + 600 (lợi nhuận net từ đền bù) + 150 ( lợi nhuận net từ lõi ) = 2.450 tỷ đồng.

Với vốn hoá hiện tại là 1.200 tỷ đồng, Upside đưa ra là 100% trong 1 năm sắp tới.

tình hình TRC đến thời điểm này sao rồi AD ơi, Ad còn theo và có thông tin cập nhật gì mới không, cám ơn Ad

Đã kết thúc nhiệm vụ ở TRC rồi ạ.

Nhận ấn bản mùa đông 2025 thì vào lệnh luôn hay là chờ thêm điểm vào tốt ạ ad?